PLANKTON RICHNESS AND ABUNDANCE IN SEVERAL DIFFERENT HYDROLOGICAL SITUATIONS IN LAKES LATERAL TO A RIVER: A CASE STUDY IN THE MOUTH ZONE OF A TRIBUTARY INTO A TROPICAL RESERVOIR

Authors

  • Raoul Henry UNESP
  • Eliana Aparecida Panarelli Univerdidade Estadual de Minas Gerais - UEMG
  • Silvia Maria Caglierani Casanova
  • Danielli Cristina Granado Universidade Estadual de São Paulo - UNESP
  • Rafael Campanelli Mortari Universidade Paulista - UNIP
  • Juliana Abra Universidade Estadual de São Paulo - UNESP

Keywords:

Zooplankton, phytoplankton, water level, connectivity, aquatic ecosystems

Abstract

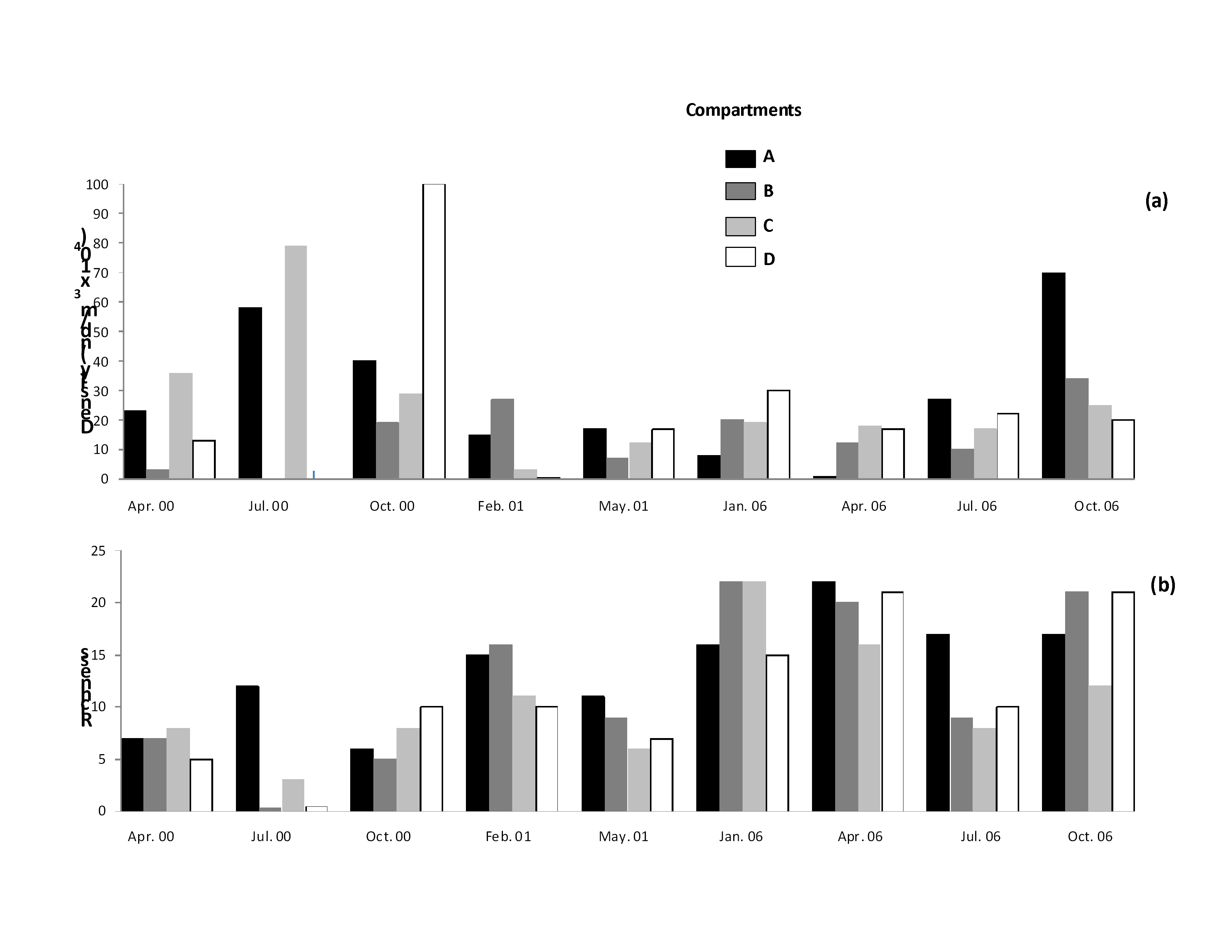
A descriptive analysis of the responses of plankton from lakes lateral to a river in its mouth zone into a tropical reservoir to water level variations is presented. Three situations were reported: 1) a comparison of species richness and diversity and of algae population abundance in prolonged drought and in periods of connection of lakes to the river, 2) the spatial distribution of abundance and richness of Rotifera species in four isolated water bodies formed by fragmentation of a lateral lake during a period of prolonged drought and in the same areas during a period of integrity as an ecosystem, 3) the variability of total zooplankton and Cladocera densities at the end of the isolation period of a lateral lake and after the recovery of connection with the river and in a year of continuous connection with the lotic ecosystem. Various idiosyncrasies were observed in connected lateral lakes, like the surface hydrologic connectivity, a primary factor in species richness modifications and a secondary controlling factor of plankton abundance. Underground hydrologic connectivity, through the river - lake water flux during the high-water period and lake - river during drought period, appears to have an important role in richness and abundance variations of planktonic populations in the lake isolated from the river.

Downloads

Download data is not yet available.

Published

2017-02-20