WATER CONSERVATION ABILITY OF THREE SPECIES OF THE GENUS THRICHOMYS (RODENTIA, HYSTRICOMORPHA)
DOI:
https://doi.org/10.4257/oeco.2015.1901.06Keywords:
Water conservation, Body mass loss, Urine concentration, Semi-arid and adaptationAbstract
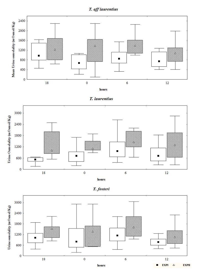
We tested the water conservation ability of three species of the genus Trichomys that occur in localities with very different climatic regimes, T. fosteri (Pantanal -- seasonal wetlands), T. aff. laurentius (Cerrado - savanna) and T. laurentius (Caatinga -- shrub land). Individuals were submitted to laboratory urinary concentration experiments using two treatments: one where food and water ad libitum were offered (control experiment - I) and the other of food and water deprivation (test experiment - II). Experiments were conducted during 24 hours and urine volume was collected and measured every 6 hours. We compared the differences in body mass, body mass loss (BML), urine volume (UV), relative urine volume (UVr) and urine osmolality (UO) between treatments for each species and between species for the test experiment (II). The patterns of temporal variation in urine concentration were also analyzed during the experiments. T. fosteri has signifcantly higher body mass than the other species. Signifcant differences were found in UV, UVr and UO but not in BML when experiments I and II were compared. Interspecifc comparisons showed no differences between species, except for UV, which was correlated with body mass and was higher for T. fosteri. All species presented low mean urine concentration values (T. aff. laurentius = 1226.14À608.03 mOsmol/kg, T. laurentius= 1210.02À662.68 mOsmol/kg, T fosteri= 1301À541 mOsmol/kg) compared to other South American rodents. All species showed high intraspecifc variability. Some individuals of T. laurentius reached values of UO higher than 3000mOsmol/Kg. The temporal patterns of urine concentration from experiments I and II were very similar for all species. Changes in the pattern of urine concentration over time were not obser- ved when comparing experiments I and II. The Thrichomys species studied here seem not to have effcient mechanisms for urine concentration. However, based on the high individual variability and the lack of changes in the short-term temporal variation, this question has to be better analyzed.Downloads
Download data is not yet available.
Downloads
Additional Files
- camiladebarros, FIGURE 1.xcf (Português (Brasil))
- camiladebarros, FIGURE 2.xcf (Português (Brasil))
- camiladebarros, cover letter thrychomis water conservation.pdf (Português (Brasil))
- camiladebarros, 966-5911-2-ED.docx (Português (Brasil))
- camiladebarros, 966-5911-3-ED.jpg (Português (Brasil))
- camiladebarros, 966-5911-4-ED.jpg (Português (Brasil))
- camiladebarros, 966-6131-1-RV Reviewer F.pdf (Português (Brasil))
- camiladebarros, 966-5905-3-RV Reviewer A.doc (Português (Brasil))
Published
2017-02-23
Issue
Section
Articles